go to previous page   go to home page   go to next page

Answer:

Yes.


Functions

A function to output /* BAD */ would clean up the logic.

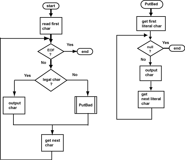
In flowcharts, a function call is shown as a box with double lines on its sides. The flowchart on the left calls the function on the right in one of the branches of its if.

Complete Flowchart, now with a function

QUESTION 16:

Should the literal /* BAD */ be passed as an argument to putBad() or be hard coded?